×
Close
Sign Up
Login
Home
SCI Abstract
Library D
Events & Partner
WeMed
MDLA Events Platform
Events
Media Partners
Educational Partner
User Tools
FAQ/USER GUIDE
Language
English
中文/ Chinese
French
Português
Español
Arabic
Russian
Contact Us
×
Close
mdla_1
mdla_2
mdla_3
mdla_4
mdla_5
mdla_6
Categories
Ophthalmology
9718
Global Medical University
5116
Allergy
1792
Anatomy & Morphology
1583
Andrology
379
Anesthesia & Intensive Care
1297
Anesthesiology
5380
Audiology & Speech-Language Pathology
347
Behavioral Sciences
105
Biochemical Research Methods
7212
Biochemistry & Molecular Biology
29995
Biodiversity Conservation
330
Biology
8481
Biophysics
8249
Biotechnology & Applied Microbiology
8627
Cardiac & Cardiovascular Systems
31021
Cardiovascular & Respiratory Systems
1406
Cell & Tissue Engineering
703
Cell Biology
11169
Chemistry, Analytical
4290
Chemistry, Applied
10914
Chemistry, Medicinal
8728
Chemistry, Multidisciplinary
18507
Clinical Immunology & Infectious Disease
423
Clinical Medicine
8968
Clinical Neurology
16557
Clinical Psychology & Psychiatry
1290
Critical Care Medicine
3140
Dentistry, Oral Surgery & Medicine
13502
Dermatology
7480
Developmental Biology
6959
Ecology
631
Education, Scientific Disciplines
2037
Emergency Medicine
4123
Endocrinology, Metabolism & Nutrition
24552
Engineering, Biomedical
3709
Entomology
488
Environmental Medicine & Public Health
4649
Evolutionary Biology
275
Gastroenterology & Hepatology
12212
General & Internal Medicine
7002
Genetics & Heredity
15147
Geriatrics & Gerontology
5085
Gerontology
378
Health Care Sciences & Services
16150
Health Policy & Services
601
Hematology
5567
Immunology
24768
Infectious Diseases
13958
Integrative & Complementary Medicine
2926
Medical Ethics
1239
Medical Informatics
2241
Medical Laboratory Technology
419
Medicine, General & Internal
44286
Medicine, Legal
532
Medicine, Research & Experimental
17737
Microbiology
23315
Mycology
0
Nanoscience & Nanotechnology
5374
Neuroimaging
1374
Neurology
4554
Neurosciences
39800
Nursing
9793
Nutrition & Dietetics
7836
Obstetrics & Gynecology
8256
Oncology
52351
Optics
4286
Orthopedics
11780
Orthopedics, Rehabilitation & Sports Medicine
1809
Otolaryngology
1582
Otorhinolaryngology
4882
Parasitology
1161
Pathology
5155
Pediatrics
21553
Peripheral Vascular Disease
4767
Pharmacology & Pharmacy
35417
Pharmacology/Toxicology
12182
Physiology
8883
Polymer Science
550
Primary Health Care
836
Psychiatry
19065
Psychology
5240
Psychology, Applied
111
Psychology, Biological
389
Psychology, Clinical
809
Psychology, Developmental
272
Psychology, Educational
164
Psychology, Experimental
188
Psychology, Mathematical
0
Psychology, Multidisciplinary
1690
Psychology, Psychoanalysis
30
Psychology, Social
131
Public Health & Health Care Science
2222
Public, Environmental & Occupational Health
27204
Quantum Science & Technology
0
Radiology, Nuclear Medicine & Imaging
12465
Radiology, Nuclear Medicine & Medical Imaging
8240
Rehabilitation
3049
Remote Sensing
0
Reproductive Biology
2882
Reproductive Medicine
1208
Research/Laboratory Medicine & Medical Technology
4018
Respiratory System
7405
Rheumatology
6029
Social Sciences, Biomedical
1173
Substance Abuse
2767
Surgery
33790
Toxicology
4433
Transplantation
938
Tropical Medicine
300
Urology & Nephrology
12859
Veterinary Sciences
35
Virology
2548
Zoology
0
Channels
Journal of Academic Ophthalmology
123
British Journal of Ophthalmology
647
Medrxiv - Ophthalmology
307
ACTA OPHTHALMOLOGICA
314
CLINICAL AND EXPERIMENTAL OPHTHALMOLOGY
66
OCULAR SURFACE
330
OPHTHALMOLOGICA
97
OPHTHALMOLOGY
36
RETINA-THE JOURNAL OF RETINAL AND VITREOUS DISEASES
605
BMC OPHTHALMOLOGY
1007
CANADIAN JOURNAL OF OPHTHALMOLOGY-JOURNAL CANADIEN D OPHTALMOLOGIE
39
CLINICAL AND EXPERIMENTAL OPTOMETRY
19
EXPERIMENTAL EYE RESEARCH
155
EYE
1186
EYE & CONTACT LENS-SCIENCE AND CLINICAL PRACTICE
59
EYE AND VISION
136
GRAEFES ARCHIVE FOR CLINICAL AND EXPERIMENTAL OPHTHALMOLOGY
888
JOURNAL OF NEURO-OPHTHALMOLOGY
62
OPHTHALMIC AND PHYSIOLOGICAL OPTICS
96
OPHTHALMIC RESEARCH
183
OPTOMETRY AND VISION SCIENCE
107
VISION RESEARCH
0
INDIAN JOURNAL OF OPHTHALMOLOGY
20
JOURNAL FRANCAIS D OPHTALMOLOGIE
903
TAIWAN JOURNAL OF OPHTHALMOLOGY
140
SAUDI JOURNAL OF OPHTHALMOLOGY
174
BRITISH JOURNAL OF VISUAL IMPAIRMENT
31
CASE REPORTS IN OPHTHALMOLOGY
254
JOURNAL OF CURRENT OPHTHALMOLOGY
139
JOURNAL OF OPHTHALMIC & VISION RESEARCH
219
JOURNAL OF OPHTHALMIC INFLAMMATION AND INFECTION
143
MIDDLE EAST AFRICAN JOURNAL OF OPHTHALMOLOGY
50
OCULAR ONCOLOGY AND PATHOLOGY
71
OPEN OPHTHALMOLOGY JOURNAL
13
INTERNATIONAL OPHTHALMOLOGY
852
JAPANESE JOURNAL OF OPHTHALMOLOGY
247
SCI Abstract
search
ALL
RECOMMENDED
+
Switching to faricimab alleviates persistent subretinal fluid and pigment epithelial detachment in neovascular age-related macular degeneration
To evaluate structural outcomes, including subretinal fluid (SRF) and fibrovascular pigment epithelial detachment (fvPED) ...
Japanese Journal Of Ophthalmology
comment
0
thumb_up
0
Visual function and patient satisfaction with 3 types of monofocal plus intraocular lenses
To compare visual function and patient-reported satisfaction among 3 types of monofocal plus intraocular lenses (IOLs) Ret...
Japanese Journal Of Ophthalmology
comment
0
thumb_up
0
Clinical and MRI differences in congenital fibrosis of extraocular muscles patients with and variants
To compare the clinical and neuroimaging phenotypes in Chinese patients with congenital fibrosis of extraocular muscles (C...
Japanese Journal Of Ophthalmology
comment
0
thumb_up
0
Short-term outcomes of the PreserFlo MicroShunt in Japanese patients with exfoliation glaucoma: a comparison with primary open-angle glaucoma using propensity score matching
This study evaluated the efficacy and safety of initially implanted PreserFlo MicroShunt (PMS) in Japanese patients with e...
Japanese Journal Of Ophthalmology
comment
0
thumb_up
0
Genetic and bioinformatic analysis of and variants in north Indian retinitis pigmentosa patients
Retinitis Pigmentosa (RP) represents the most common form of inherited retinal dystrophy (IRD), identified by a gradual de...
Japanese Journal Of Ophthalmology
comment
0
thumb_up
0
Gender differences in higher-order aberrations and refractive error in Japanese school children: the Kyoto Childhood Refractive Error Study (KRES)
To investigate and analyze gender-related differences in myopia prevalence and factors associated with myopia progression ...
Japanese Journal Of Ophthalmology
comment
0
thumb_up
0
Endoluminal lacrimal duct recanalization for pediatric secondary acquired lacrimal duct obstruction following epidemic keratoconjunctivitis
This study aimed to evaluate the efficacy of endoluminal lacrimal duct recanalization (ELDR) with intubation using dacryoe...
Japanese Journal Of Ophthalmology
comment
0
thumb_up
0
Identifying novel risk factors for ocular lesions in patients with fungemia and determining the efficacy of routine screening
To identify novel risk factors associated with the presence of fungal ocular lesions in patients with fungemia and to eval...
Japanese Journal Of Ophthalmology
comment
0
thumb_up
0
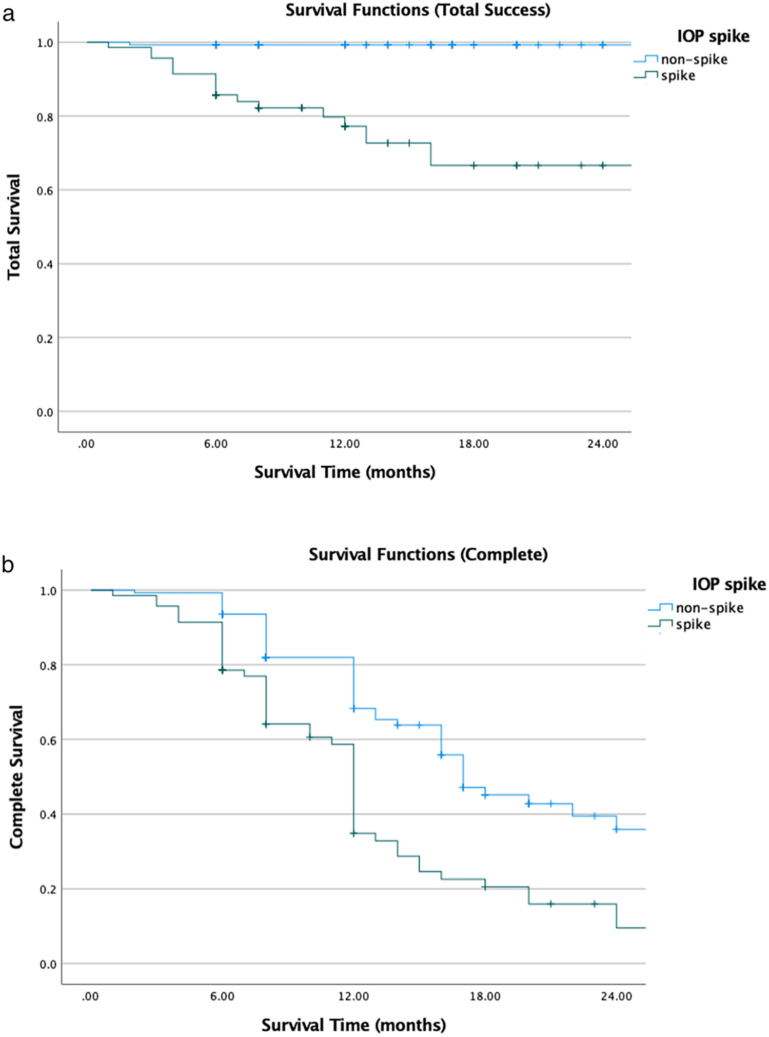
Insights into intraocular pressure spikes following gonioscopy-assisted transluminal trabeculotomy (GATT): timing, predictors and clinical outcomes
To evaluate the frequency, timing, and characteristics of intraocular pressure (IOP) spikes following standalone Gonioscop...
Japanese Journal Of Ophthalmology
comment
0
thumb_up
0
Rescue pneumatic retinopexy for recurrent retinal detachments due to superior retinal breaks following initial vitrectomy
To evaluate the clinical outcomes of pneumatic retinopexy (PnR) for a recurrent rhegmatogenous retinal detachment (RRD) du...
Japanese Journal Of Ophthalmology
comment
0
thumb_up
0
Recurrence associated with 2-year visual acuity after subretinal tissue plasminogen activator for submacular hemorrhage in neovascular age-related macular degeneration
To identify predictors of the 2-year best-corrected visual acuity (BCVA) after subretinal tissue plasminogen activator (tP...
Japanese Journal Of Ophthalmology
comment
0
thumb_up
0
Correlation between visual function and corneal backscatter by Scheimpflug imaging or anterior segment optical coherence tomography in Fuchs endothelial corneal dystrophy
To evaluate the correlation between corneal backscatter and visual function in patients with Fuchs endothelial corneal dys...
Japanese Journal Of Ophthalmology
comment
0
thumb_up
0
Detection of optic disc abnormalities using retro-mode scanning laser ophthalmoscopy
To determine whether retro-mode scanning laser ophthalmoscopy (RMSLO) can detect optic disc abnormalities in highly myopic...
Japanese Journal Of Ophthalmology
comment
0
thumb_up
0
Predicting the treatment-requiring retinopathy of prematurity using birth weight, laboratory data and continuous peripheral capillary oxygen saturation monitoring
This single-center retrospective study aimed to identify independent predictors of retinopathy of prematurity (ROP) treatm...
Japanese Journal Of Ophthalmology
comment
0
thumb_up
0
Quality of life after cultured corneal endothelial cell transplant in patients with bullous keratopathy
Using the National Eye Institute Visual Function Questionnaire-25 (NEI VFQ-25), to evaluate vision-related quality of life...
Japanese Journal Of Ophthalmology
comment
0
thumb_up
0
Detection of a white cataract with elevated intralenticular pressure using an optical biometer based on swept-source optical coherence tomography
To determine whether a white cataract (WC) with elevated intralenticular pressure (EWC) can be distinguished from one with...
Japanese Journal Of Ophthalmology
comment
0
thumb_up
0
Clinical performance of a hydrophobic acrylic toric intraocular lens with a double C-loop haptics in Japanese patients
To evaluate the clinical performance of a hydrophobic acrylic toric intraocular lens (IOL) with double C-loop haptics in a...
Japanese Journal Of Ophthalmology
comment
0
thumb_up
0
Role of perfusion-related metrics in visual field progression of primary open-angle and exfoliation glaucoma: a natural language processing approach
To investigate the association between vascular factors affecting optic nerve perfusion and glaucoma progression in a clin...
Japanese Journal Of Ophthalmology
comment
0
thumb_up
0
Transcriptional landscape of aniridia-associated keratopathy through single-cell RNA sequencing
Update your browser to view ScienceDirect correctly. Your technical details and browser version: Request ID: 96ebd...
Ocular Surface
comment
0
thumb_up
0
A pilot randomized controlled trial of topical androgen treatment in dry eye
Update your browser to view ScienceDirect correctly. Your technical details and browser version: Request ID: 96ebd...
Ocular Surface
comment
0
thumb_up
0
Heightened visual light sensitivity discomfort measured by the ocular photosensitivity analyzer is associated with chronic ocular pain
Update your browser to view ScienceDirect correctly. Your technical details and browser version: Request ID: 96ebd...
Ocular Surface
comment
0
thumb_up
0
Ultrasonography assessments of meibomian gland as a noninvasive method of detecting changes in morphology
Update your browser to view ScienceDirect correctly. Your technical details and browser version: Request ID: 96ebd...
Ocular Surface
comment
0
thumb_up
0
Ocular surface epithelial immune cells and corneal nerves in dry eye disease - A systematic review and meta-analysis of in vivo confocal microscopy data
Update your browser to view ScienceDirect correctly. Your technical details and browser version: Request ID: 96ebd...
Ocular Surface
comment
0
thumb_up
0
Moxifloxacin-resistant and moxifloxacin-susceptible Staphylococcus aureus Keratitis: Outcomes from a 10-year retrospective study
Update your browser to view ScienceDirect correctly. Your technical details and browser version: Request ID: 96ebd...
Ocular Surface
comment
0
thumb_up
0
Early myeloid cell infiltration and subset-specific macrophage responses in murine corneal nerve injury
Update your browser to view ScienceDirect correctly. Your technical details and browser version: Request ID: 96ebd...
Ocular Surface
comment
0
thumb_up
0
Acanthamoeba keratitis treatment outcomes compared for drug delivery by protocol versus physician's individualised treatment
Update your browser to view ScienceDirect correctly. Your technical details and browser version: Request ID: 96ebd...
Ocular Surface
comment
0
thumb_up
0
Prostaglandin F2α exacerbated dry eye by promoting lacrimal gland fibrosis progression through the activation of the RhoA/ROCKs signaling pathway
Update your browser to view ScienceDirect correctly. Your technical details and browser version: Request ID: 96ebd...
Ocular Surface
comment
0
thumb_up
0
New insight into the neuroimmune interplay in Pseudomonas aeruginosa keratitis
Update your browser to view ScienceDirect correctly. Your technical details and browser version: Request ID: 96ebd...
Ocular Surface
comment
0
thumb_up
0
Antibiotic resistance of Pseudomonas aeruginosa from ocular samples in Canada: a 25-year analysis
Update your browser to view ScienceDirect correctly. Your technical details and browser version: Request ID: 96ebd...
Ocular Surface
comment
0
thumb_up
0
Prospective consecutive case series of patients with neurotrophic keratopathy associated with unilateral total limbal stem cell deficiency caused by severe ocular surface burns
Update your browser to view ScienceDirect correctly. Your technical details and browser version: Request ID: 96ebd...
Ocular Surface
comment
0
thumb_up
0
Load More
Modal title
×
Modal title
×
Share
Login
Global News and Health Forum
Join Now!
Member Login
Remember me
Forgot password?
Or using
Linkedin