×
Close
Sign Up
Login
Home
SCI Abstract
Library D
Events & Partner
WeMed
MDLA Events Platform
Events
Media Partners
Educational Partner
User Tools
FAQ/USER GUIDE
Language
English
中文/ Chinese
French
Português
Español
Arabic
Russian
Contact Us
×
Close
mdla_1
mdla_2
mdla_3
mdla_4
mdla_5
mdla_6
Categories
Nutrition & Dietetics
7836
Global Medical University
5118
Allergy
1792
Anatomy & Morphology
1583
Andrology
379
Anesthesia & Intensive Care
1297
Anesthesiology
5381
Audiology & Speech-Language Pathology
347
Behavioral Sciences
105
Biochemical Research Methods
7216
Biochemistry & Molecular Biology
30007
Biodiversity Conservation
330
Biology
8486
Biophysics
8251
Biotechnology & Applied Microbiology
8632
Cardiac & Cardiovascular Systems
31032
Cardiovascular & Respiratory Systems
1406
Cell & Tissue Engineering
704
Cell Biology
11170
Chemistry, Analytical
4291
Chemistry, Applied
10916
Chemistry, Medicinal
8729
Chemistry, Multidisciplinary
18507
Clinical Immunology & Infectious Disease
423
Clinical Medicine
8969
Clinical Neurology
16578
Clinical Psychology & Psychiatry
1290
Critical Care Medicine
3142
Dentistry, Oral Surgery & Medicine
13504
Dermatology
7480
Developmental Biology
6959
Ecology
631
Education, Scientific Disciplines
2038
Emergency Medicine
4124
Endocrinology, Metabolism & Nutrition
24550
Engineering, Biomedical
3709
Entomology
488
Environmental Medicine & Public Health
4649
Evolutionary Biology
275
Gastroenterology & Hepatology
12217
General & Internal Medicine
7003
Genetics & Heredity
15151
Geriatrics & Gerontology
5086
Gerontology
378
Health Care Sciences & Services
16164
Health Policy & Services
601
Hematology
5569
Immunology
24769
Infectious Diseases
13963
Integrative & Complementary Medicine
2938
Medical Ethics
1239
Medical Informatics
2242
Medical Laboratory Technology
419
Medicine, General & Internal
44308
Medicine, Legal
532
Medicine, Research & Experimental
17739
Microbiology
23298
Mycology
0
Nanoscience & Nanotechnology
5374
Neuroimaging
1374
Neurology
4554
Neurosciences
39811
Nursing
9793
Obstetrics & Gynecology
8268
Oncology
52382
Ophthalmology
9720
Optics
4286
Orthopedics
11787
Orthopedics, Rehabilitation & Sports Medicine
1809
Otolaryngology
1582
Otorhinolaryngology
4885
Parasitology
1161
Pathology
5158
Pediatrics
21565
Peripheral Vascular Disease
4768
Pharmacology & Pharmacy
35428
Pharmacology/Toxicology
12185
Physiology
8898
Polymer Science
541
Primary Health Care
836
Psychiatry
19081
Psychology
5240
Psychology, Applied
111
Psychology, Biological
389
Psychology, Clinical
809
Psychology, Developmental
273
Psychology, Educational
164
Psychology, Experimental
188
Psychology, Mathematical
0
Psychology, Multidisciplinary
1690
Psychology, Psychoanalysis
30
Psychology, Social
131
Public Health & Health Care Science
2222
Public, Environmental & Occupational Health
27222
Quantum Science & Technology
0
Radiology, Nuclear Medicine & Imaging
12468
Radiology, Nuclear Medicine & Medical Imaging
8246
Rehabilitation
3050
Remote Sensing
0
Reproductive Biology
2882
Reproductive Medicine
1212
Research/Laboratory Medicine & Medical Technology
4021
Respiratory System
7404
Rheumatology
6030
Social Sciences, Biomedical
1173
Substance Abuse
2767
Surgery
33810
Toxicology
4435
Transplantation
938
Tropical Medicine
300
Urology & Nephrology
12888
Veterinary Sciences
35
Virology
2548
Zoology
0
Channels
Medrxiv - Nutrition
286
ANNALS OF NUTRITION AND METABOLISM
113
APPLIED PHYSIOLOGY NUTRITION AND METABOLISM
270
EUROPEAN JOURNAL OF CLINICAL NUTRITION
462
EUROPEAN JOURNAL OF NUTRITION
592
INNOVATIVE FOOD SCIENCE & EMERGING TECHNOLOGIES
697
INTERNATIONAL JOURNAL OF OBESITY
575
NUTRIENTS
3817
NUTRITION & METABOLISM
189
NUTRITION JOURNAL
184
NUTRITION REVIEWS
5
BENEFICIAL MICROBES
59
REVISTA DE NUTRICAO-BRAZILIAN JOURNAL OF NUTRITION
0
TOPICS IN CLINICAL NUTRITION
90
JOURNAL OF RENAL NUTRITION
18
BMC NUTRITION
324
CLINICAL NUTRITION ESPEN
85
CURRENT NUTRITION & FOOD SCIENCE
45
NUTRITION AND METABOLIC INSIGHTS
25
SCI Abstract
search
ALL
RECOMMENDED
+
The clinical and economic burden of obesity in low- and middle-income countries: a systematic review
Obesity has emerged as a critical public health challenge globally, with substantial health and economic repercussions. Th...
International Journal Of Obesity
comment
0
thumb_up
0
Effect of weight loss through dietary interventions on cardiometabolic health in older adults
With the increasing prevalence of obesity and its negative consequences on health, weight management emerges as a priority...
International Journal Of Obesity
comment
0
thumb_up
0
The associations of objective, behaviorally measured hunger and weight-related variables with Food Craving Inventory subscales in adults with obesity
The Food Craving Inventory (FCI) measures the frequency of food cravings along five dimensions: overall food cravings, cra...
International Journal Of Obesity
comment
0
thumb_up
0
The weight of weight: the salience of body weight in the impression formation process
Western societies preach slimness. However, overweight and obesity are increasing. Individuals living with overweight ofte...
International Journal Of Obesity
comment
0
thumb_up
0
Impact of laparoscopic vertical sleeve gastrectomy (LVSG) on lower esophageal sphincter pressure (LESP), lower esophageal sphincter length (LESL) and gastroesophageal reflux disease (GERD) using esophageal function tests (EFTs): a systematic review and meta-analysis
LVSG seems to increase the risk of GERD despite significant weight loss. We compared pre- and postoperative esophageal fun...
International Journal Of Obesity
comment
0
thumb_up
0
Prediabetes: a new indication for GLP-1s?
Competing interests In the past 36 months, CMA has participated on advisory boar...
International Journal Of Obesity
comment
0
thumb_up
0
The effect of divergent selection on the basal metabolic rate on body temperature in males of laboratory mice with different levels of obesity
Basal metabolic rate (BMR) and body temperature are evolutionarily coupled in mammals. Low values of both BMR and body tem...
International Journal Of Obesity
comment
0
thumb_up
0
The interplay between the adrenergic system and obesity: a systematic review
Obesity is an increasingly alarming public health problem. Emerging evidence suggests that a dysregulation of sympathetic ...
International Journal Of Obesity
comment
0
thumb_up
0
Saturated fat from dairy sources and cardio-metabolic health: insights from the STANISLAS cohort
The health impact of dairy products is debated due to their high saturated fatty acid (SFA) content. Emerging evidence sug...
European Journal Of Nutrition
comment
0
thumb_up
0
Dietary vitamin D and gastric cancer risk within the stomach cancer pooling (stop) project
The evidence regarding the role of vitamin D on gastric cancer (GC) is controversial. Within the Stomach cancer Pooling (S...
European Journal Of Nutrition
comment
0
thumb_up
0
Correlates of serum holo-Transcobalamin in the elderly general population
Holo-Transcobalamin (holo-TC) is the biologically active form of vitamin B12, an essential vitamin that is only c...
European Journal Of Nutrition
comment
0
thumb_up
0
Metabolomic profiles of an atherogenic TMAO-dietary pattern among postmenopausal women
We previously identified a dietary pattern (DP) associated with plasma trimethylamine n-oxide (TMAO) and choline, the TMAO...
European Journal Of Nutrition
comment
0
thumb_up
0
Anti-colorectal cancer effect and mechanism of a polysaccharide from
Colorectal cancer (CRC) is the most common malignant tumor with a persistently high mortality rate worldwide. This study a...
European Journal Of Nutrition
comment
0
thumb_up
0
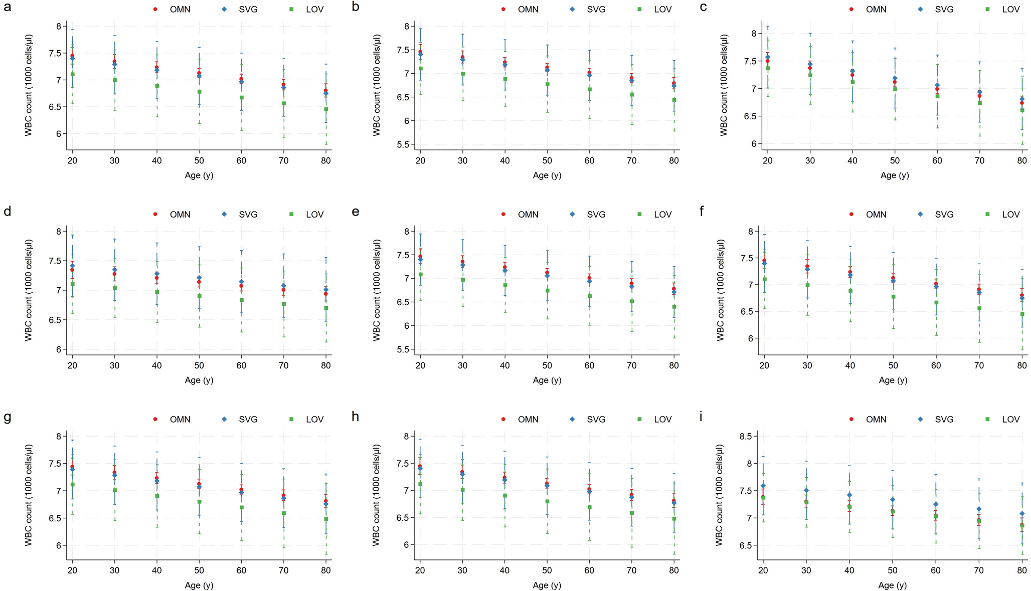
Whole blood count data and hematological parameters in US vegetarians: a cross-sectional study
Lower white blood cell, neutrophil and lymphocyte counts have been reported in vegetarians. However, studies on this topic...
European Journal Of Nutrition
comment
0
thumb_up
0
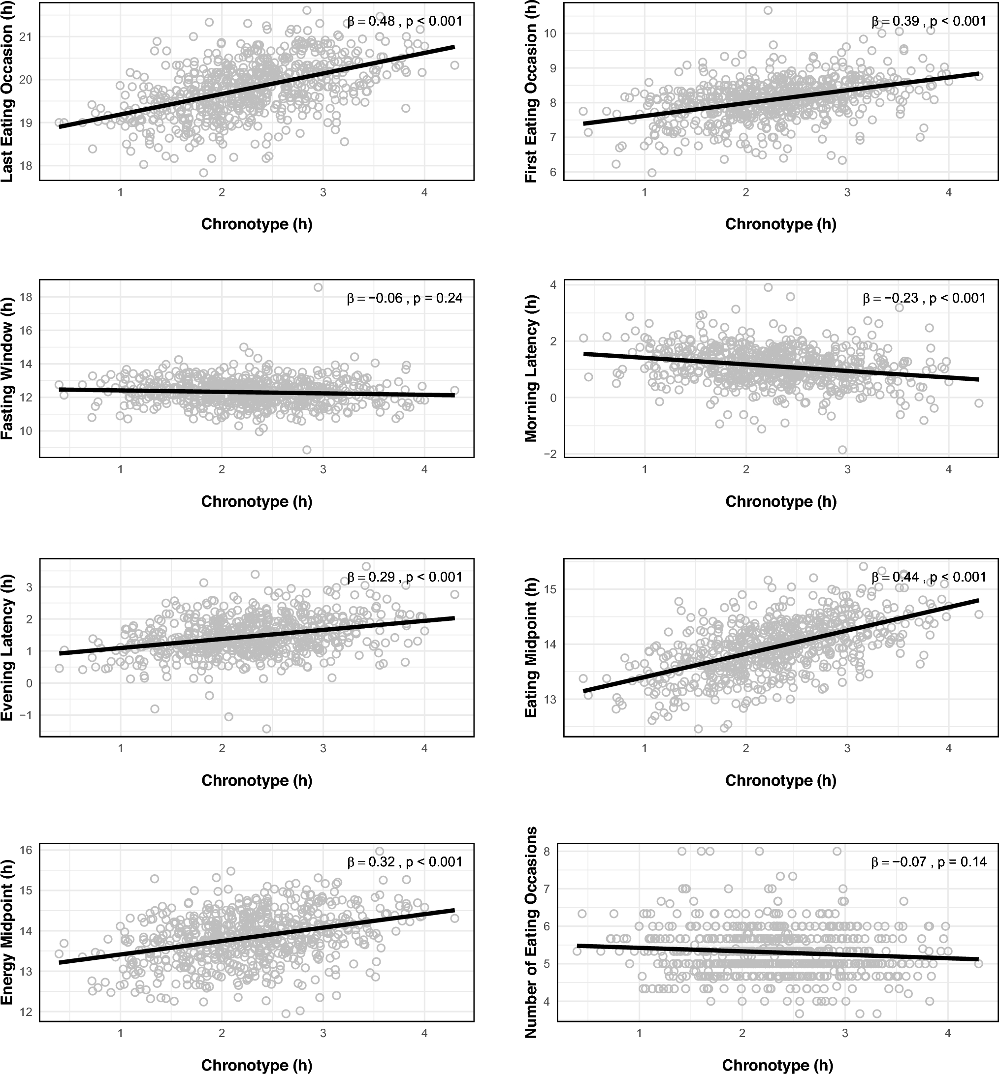
Associations of chronotype and socio-demographic factors with timing of eating in finnish preschool-aged children
Chrononutrition, encompassing timing, frequency, and regularity of dietary intake, may affect metabolic health and chronic...
European Journal Of Nutrition
comment
0
thumb_up
0
Long-term cognitive benefits of human milk phospholipids in breastfed children at preschool age: results from MUAI study
To examine the associations between human milk phospholipids (PLs) concentrations and neurocognitive development in presch...
European Journal Of Nutrition
comment
0
thumb_up
0
Effect of probiotics on intestinal permeability in critically ill children with sepsis: preliminary results from a double-blind, placebo-controlled trial
The objective of this study was to evaluate whether probiotics have effects on intestinal permeability in children with se...
European Journal Of Nutrition
comment
0
thumb_up
0
Eastern healthy dietary patterns in relation to all-cause mortality
Existing studies have mainly focused on healthy dietary patterns proposed based on Western populations, whereas the Easter...
European Journal Of Nutrition
comment
0
thumb_up
0
Association between fish consumption and mortality risk from overall cardiovascular disease and its subtypes: a 20-year prospective cohort analysis by sex
To investigate the association between fish consumption and mortality risk related to cardiovascular disease (CVD) and its...
European Journal Of Nutrition
comment
0
thumb_up
0
Glycemic responses of three mango varieties in subjects with and without T2D: a pilot crossover study using OTT and CGM
Mango consumption is often restricted in diet consumed by people with diabetes due to concerns about its glycemic impact. ...
European Journal Of Clinical Nutrition
comment
0
thumb_up
0
Real-world assessment of Multi-Frequency Bioelectrical Impedance Analysis (MFBIA) for measuring body composition in healthy physically active populations
Multi-frequency bioelectrical impedance analysis (MFBIA) methods offer reliable and moderately accurate estimates of body ...
European Journal Of Clinical Nutrition
comment
0
thumb_up
0
Intake of total and selected carotenoids and colorectal cancer risk: An Italian case-control study
Colorectal cancer (CRC) risk is influenced by diet. Carotenoids are naturally occurring pigments primarily found in fruits...
European Journal Of Clinical Nutrition
comment
0
thumb_up
0
Effects of probiotics on cognitive function across the human lifespan: a meta-analysis
In recent years, probiotics have become one of the research hotspots in the scientific community, and its potential role i...
European Journal Of Clinical Nutrition
comment
0
thumb_up
0
Association of a high-protein and low-glycemic-index diet during pregnancy with offspring growth and obesity until the age of 18 years – a target trial emulation
Maternal pre-pregnancy BMI and excessive gestational weight gain (GWG) are associated with offspring obesity. Moreover, ma...
European Journal Of Clinical Nutrition
comment
0
thumb_up
0
Vitamin D status of adults in the North of the Netherlands: cross-sectional results from the Lifelines cohort study
Maintaining an adequate vitamin D status is challenging for part of the Dutch adults; therefore, use of vitamin D suppleme...
European Journal Of Clinical Nutrition
comment
0
thumb_up
0
Dietary intake of folate, vitamin B6, vitamin B12, and riboflavin and the risk of incident dementia
Low intake of B vitamins may increase dementia; However, epidemiological evidence, particularly for riboflavin (vitamin B&...
European Journal Of Clinical Nutrition
comment
0
thumb_up
0
Characterization of liposomes containing Ascorbyl-6-O-conjugated linoleate: Perspective on phase transition and release behavior
Update your browser to view ScienceDirect correctly. Your technical details and browser version: Request ID: 9754e...
Innovative Food Science & Emerging Technologies
comment
0
thumb_up
0
Sequential fermentation with Kluyveromyces marxianus and yogurt starter cultures produces stirred fermented milk with reduced lactose and enhanced natural flavor
Update your browser to view ScienceDirect correctly. Your technical details and browser version: Request ID: 9754e...
Innovative Food Science & Emerging Technologies
comment
0
thumb_up
0
Homologous non-covalent binding mechanism of potato protein and purple potato anthocyanins: Insights into structural and functional benefits
Update your browser to view ScienceDirect correctly. Your technical details and browser version: Request ID: 9754e...
Innovative Food Science & Emerging Technologies
comment
0
thumb_up
0
Innovative bio-based active packaging: Functional composite films reinforced with biochar for meat preservation
Update your browser to view ScienceDirect correctly. Your technical details and browser version: Request ID: 9754e...
Innovative Food Science & Emerging Technologies
comment
0
thumb_up
0
Load More
Modal title
×
Modal title
×
Share
Login
Global News and Health Forum
Join Now!
Member Login
Remember me
Forgot password?
Or using
Linkedin