×
Close
Sign Up
Login
Home
SCI Abstract
Library D
Events & Partner
WeMed
MDLA Events Platform
Events
Media Partners
Educational Partner
User Tools
FAQ/USER GUIDE
Language
English
中文/ Chinese
French
Português
Español
Arabic
Russian
Contact Us
×
Close
mdla_1
mdla_2
mdla_3
mdla_4
mdla_5
mdla_6
Categories
Surgery
33704
Global Medical University
5112
Allergy
1792
Anatomy & Morphology
1582
Andrology
379
Anesthesia & Intensive Care
1297
Anesthesiology
5390
Audiology & Speech-Language Pathology
347
Behavioral Sciences
105
Biochemical Research Methods
7205
Biochemistry & Molecular Biology
29967
Biodiversity Conservation
330
Biology
8473
Biophysics
8241
Biotechnology & Applied Microbiology
8611
Cardiac & Cardiovascular Systems
31017
Cardiovascular & Respiratory Systems
1401
Cell & Tissue Engineering
698
Cell Biology
11191
Chemistry, Analytical
4289
Chemistry, Applied
10885
Chemistry, Medicinal
8724
Chemistry, Multidisciplinary
18453
Clinical Immunology & Infectious Disease
405
Clinical Medicine
8964
Clinical Neurology
16538
Clinical Psychology & Psychiatry
1275
Critical Care Medicine
3136
Dentistry, Oral Surgery & Medicine
13508
Dermatology
7469
Developmental Biology
6958
Ecology
631
Education, Scientific Disciplines
2029
Emergency Medicine
4111
Endocrinology, Metabolism & Nutrition
24510
Engineering, Biomedical
3723
Entomology
488
Environmental Medicine & Public Health
4660
Evolutionary Biology
275
Gastroenterology & Hepatology
12188
General & Internal Medicine
6952
Genetics & Heredity
15126
Geriatrics & Gerontology
5070
Gerontology
378
Health Care Sciences & Services
16133
Health Policy & Services
600
Hematology
5574
Immunology
24731
Infectious Diseases
13937
Integrative & Complementary Medicine
2925
Medical Ethics
1239
Medical Informatics
2231
Medical Laboratory Technology
419
Medicine, General & Internal
44236
Medicine, Legal
532
Medicine, Research & Experimental
17706
Microbiology
23257
Mycology
0
Nanoscience & Nanotechnology
5365
Neuroimaging
1369
Neurology
4553
Neurosciences
39728
Nursing
9779
Nutrition & Dietetics
7825
Obstetrics & Gynecology
8248
Oncology
52271
Ophthalmology
9706
Optics
4269
Orthopedics
11757
Orthopedics, Rehabilitation & Sports Medicine
1807
Otolaryngology
1581
Otorhinolaryngology
4867
Parasitology
1158
Pathology
5143
Pediatrics
21500
Peripheral Vascular Disease
4777
Pharmacology & Pharmacy
35385
Pharmacology/Toxicology
12164
Physiology
8859
Polymer Science
550
Primary Health Care
836
Psychiatry
18999
Psychology
5236
Psychology, Applied
111
Psychology, Biological
389
Psychology, Clinical
806
Psychology, Developmental
272
Psychology, Educational
158
Psychology, Experimental
188
Psychology, Mathematical
0
Psychology, Multidisciplinary
1684
Psychology, Psychoanalysis
30
Psychology, Social
131
Public Health & Health Care Science
2222
Public, Environmental & Occupational Health
27206
Quantum Science & Technology
0
Radiology, Nuclear Medicine & Imaging
12420
Radiology, Nuclear Medicine & Medical Imaging
8245
Rehabilitation
3042
Remote Sensing
0
Reproductive Biology
2874
Reproductive Medicine
1207
Research/Laboratory Medicine & Medical Technology
4011
Respiratory System
7390
Rheumatology
6025
Social Sciences, Biomedical
1167
Substance Abuse
2759
Toxicology
4433
Transplantation
938
Tropical Medicine
300
Urology & Nephrology
12841
Veterinary Sciences
35
Virology
2545
Zoology
0
Channels
OBESITY SURGERY
1095
Aesthetic Surgery Journal
112
The Surgery Journal
67
NEJM Surgery
3
Medrxiv - Surgery
243
AMERICAN JOURNAL OF SURGICAL PATHOLOGY
431
ANNALS OF SURGERY
545
ANNALS OF SURGICAL ONCOLOGY
1217
BONE & JOINT JOURNAL
272
BRITISH JOURNAL OF SURGERY
19
DIGESTIVE ENDOSCOPY
252
DISEASES OF THE COLON & RECTUM
458
JAMA OTOLARYNGOLOGY-HEAD & NECK SURGERY
71
JOURNAL OF BONE AND JOINT SURGERY-AMERICAN VOLUME
440
JOURNAL OF THE AMERICAN COLLEGE OF SURGEONS
11
JOURNAL OF TRAUMA AND ACUTE CARE SURGERY
535
KNEE SURGERY SPORTS TRAUMATOLOGY ARTHROSCOPY
866
LIVER TRANSPLANTATION
267
PLASTIC SURGERY
61
WORLD JOURNAL OF EMERGENCY SURGERY
150
AMERICAN SURGEON
381
ANNALS OF PLASTIC SURGERY
372
ANZ JOURNAL OF SURGERY
416
BRAZILIAN JOURNAL OF CARDIOVASCULAR SURGERY
0
CLINICAL NEUROLOGY AND NEUROSURGERY
1058
CLINICAL TRANSPLANTATION
224
COLORECTAL DISEASE
397
EUROPEAN SURGICAL RESEARCH
93
FRONTIERS IN SURGERY
3054
GERIATRIC ORTHOPAEDIC SURGERY & REHABILITATION
58
INJURY-INTERNATIONAL JOURNAL OF THE CARE OF THE INJURED
1220
INTERNATIONAL JOURNAL OF LOWER EXTREMITY WOUNDS
114
INTERNATIONAL JOURNAL OF MEDICAL ROBOTICS AND COMPUTER ASSISTED SURGERY
99
INTERNATIONAL WOUND JOURNAL
166
JOURNAL OF CRANIOFACIAL SURGERY
150
JOURNAL OF HEPATO-BILIARY-PANCREATIC SCIENCES
161
JOURNAL OF KOREAN NEUROSURGICAL SOCIETY
20
JOURNAL OF MINIMALLY INVASIVE GYNECOLOGY
844
JOURNAL OF ORTHOPAEDIC SURGERY
54
JOURNAL OF RECONSTRUCTIVE MICROSURGERY
290
KNEE
0
MICROSURGERY
95
OPHTHALMIC PLASTIC AND RECONSTRUCTIVE SURGERY
114
ORTHOPAEDICS & TRAUMATOLOGY-SURGERY & RESEARCH
2
SEMINARS IN PEDIATRIC SURGERY
269
SEMINARS IN VASCULAR SURGERY
257
STEREOTACTIC AND FUNCTIONAL NEUROSURGERY
83
SURGICAL INNOVATION
66
TECHNIQUES IN COLOPROCTOLOGY
587
WORLD JOURNAL OF SURGICAL ONCOLOGY
732
WORLD NEUROSURGERY
907
WOUND REPAIR AND REGENERATION
47
GLAND SURGERY
72
HAND SURGERY & REHABILITATION
441
JOURNAL OF CATARACT AND REFRACTIVE SURGERY
592
JOURNAL OF MINIMAL ACCESS SURGERY
20
JOURNAL OF PLASTIC RECONSTRUCTIVE AND AESTHETIC SURGERY
24
JOURNAL OF SURGICAL RESEARCH
44
NEUROCHIRURGIE
385
OPERATIVE TECHNIQUES IN SPORTS MEDICINE
149
SCANDINAVIAN JOURNAL OF SURGERY
22
SEMINARS IN PLASTIC SURGERY
130
SURGEON-JOURNAL OF THE ROYAL COLLEGES OF SURGEONS OF EDINBURGH AND IRELAND
336
SURGICAL CLINICS OF NORTH AMERICA
87
SURGICAL ONCOLOGY CLINICS OF NORTH AMERICA
61
THORACIC SURGERY CLINICS
59
WORLD JOURNAL OF PLASTIC SURGERY
20
TURKISH JOURNAL OF PLASTIC SURGERY
54
SURGICAL CASE REPORTS
508
SURGERY JOURNAL
159
SEMINARS IN COLON AND RECTAL SURGERY
130
ARCHIVES OF AESTHETIC PLASTIC SURGERY
20
BRAZILIAN NEUROSURGERY-ARQUIVOS BRASILEIROS DE NEUROCIRURGIA
200
CURRENT SURGERY REPORTS
124
EGYPTIAN JOURNAL OF SURGERY
40
EUROPEAN JOURNAL OF PEDIATRIC SURGERY REPORTS
90
EUROPEAN JOURNAL OF PLASTIC SURGERY
373
FORMOSAN JOURNAL OF SURGERY
76
GYNECOLOGICAL SURGERY
8
INDIAN JOURNAL OF NEUROSURGERY
177
INDIAN JOURNAL OF OTOLARYNGOLOGY AND HEAD & NECK SURGERY
1274
INDIAN JOURNAL OF VASCULAR AND ENDOVASCULAR SURGERY
150
JBJS ESSENTIAL SURGICAL TECHNIQUES
95
JBJS REVIEWS
208
JOURNAL OF HAND AND MICROSURGERY
100
JOURNAL OF ROBOTIC SURGERY
546
REVISTA ARGENTINA DE RESIDENTES DE CIRUGIA
169
PATIENT SAFETY IN SURGERY
102
EUROPEAN SURGERY-ACTA CHIRURGICA AUSTRIACA
159
INDIAN JOURNAL OF SURGERY
1015
INTERNATIONAL JOURNAL OF COMPUTER ASSISTED RADIOLOGY AND SURGERY
639
JOURNAL OF GASTROINTESTINAL SURGERY
795
LASERS IN MEDICAL SCIENCE
661
NEUROSURGICAL REVIEW
738
PEDIATRIC SURGERY INTERNATIONAL
622
SURGICAL ENDOSCOPY AND OTHER INTERVENTIONAL TECHNIQUES
1399
UPDATES IN SURGERY
627
WORLD JOURNAL OF SURGERY
559
SCI Abstract
search
ALL
RECOMMENDED
+
Efficacy, Safety, and Metabolic Outcomes of Primary Obesity Surgery Endoluminal 2 (POSE-2) for Obesity: A Systematic Review and Meta-Analysis
Primary Obesity Surgery Endoluminal 2 (POSE-2) is a minimally invasive endoscopic bariatric procedure. We conducted a syst...
Obesity Surgery
comment
0
thumb_up
0
Effect of Bariatric Surgery on the Apolipoprotein B/Apolipoprotein A1 Ratio and Insulin Resistance
Obesity is a global health challenge associated with various diseases, including cardiovascular conditions, type 2 diabete...
Obesity Surgery
comment
0
thumb_up
0
Sleeve Plus Procedures: A Review of Technical Evolution Along a Schematic Diagram
Roux-en-Y gastric bypass (RYGB) and sleeve gastrectomy (SG) are the most widely accepted bariatric and metabolic surgeries...
Obesity Surgery
comment
0
thumb_up
0
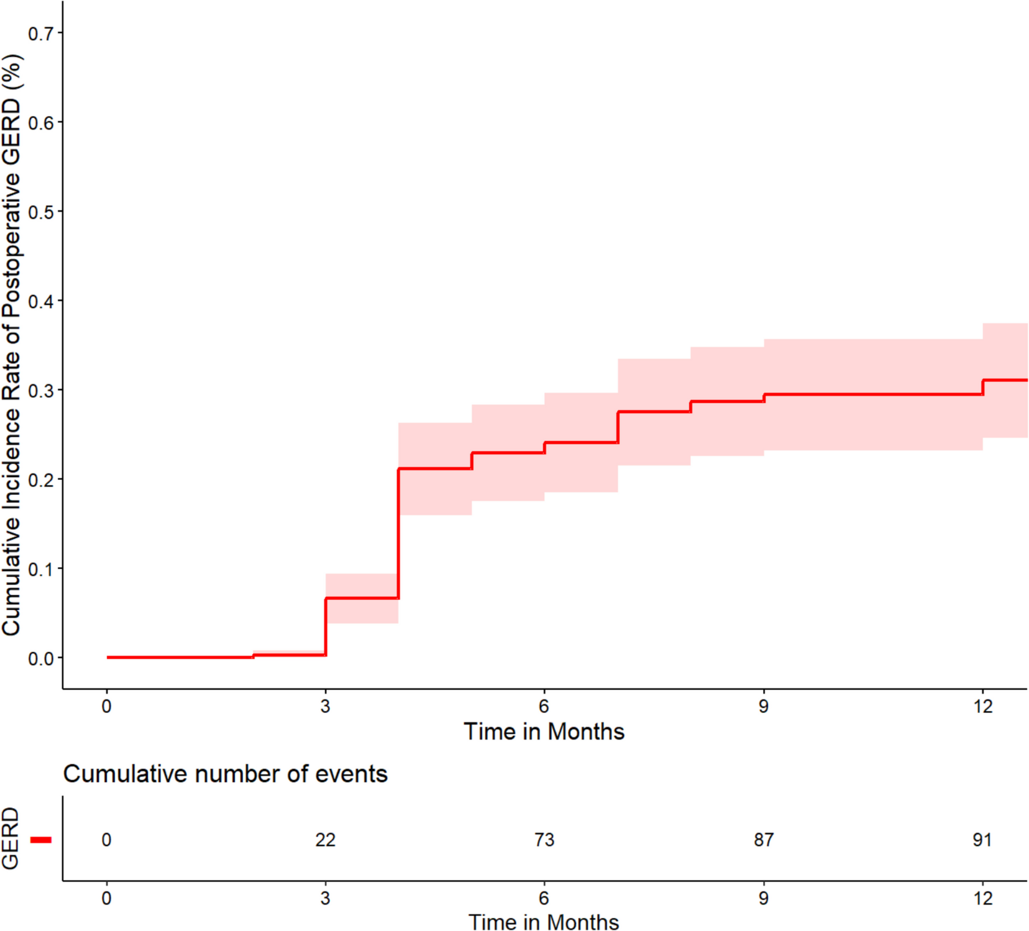
The Impact of GERD Symptoms and Endoscopic RE on Early Postoperative GERD After LSG
Laparoscopic sleeve gastrectomy (LSG) may exacerbate preexisting gastroesophageal reflux disease (GERD) or induce de novo ...
Obesity Surgery
comment
0
thumb_up
0
Multicenter Retrospective Analysis of Consecutive Swallowable Gastric Balloon Treatments in a Community Obesity Care Setting
Studies have demonstrated safety and effectiveness of the swallowable gastric balloon program (SGBP) for weight loss. If a...
Obesity Surgery
comment
0
thumb_up
0
Hiatal Hernia Recurrence Following Abdominoplasty: A Proposed Algorithm for Screening and Management
Incidence of hiatal hernia has been noted to be as high as 20–50% in those undergoing bariatric surgery. Concurrent ...
Obesity Surgery
comment
0
thumb_up
0
Mortality After Bariatric Surgery: A Comprehensive Review
Understanding mortality risk following bariatric surgery is crucial for clinical decision-making as these procedures incre...
Obesity Surgery
comment
0
thumb_up
0
Primary Metabolic and Bariatric Surgery in Persons Aged over 65 Years. GRADE-based International Federation for the Surgery of Obesity and Metabolic Disorders (IFSO) Position Statement
With the global rise in obesity among individuals aged 65 years and older, there is increasing demand for effecti...
Obesity Surgery
comment
0
thumb_up
0
Impact of Increasing Robotic Bariatric Utilization on Duodenal Switch Procedure Outcomes
The growth rate of robotic bariatric surgery has recently increased compared to prior years. The impact of this new growth...
Obesity Surgery
comment
0
thumb_up
0
A Case Series Analysis of Hospital Volume in a New Era of US Bariatric Surgery within the Nationwide Readmissions Database
Bariatric surgery is an effective treatment for class III obesity, and higher hospital volume is associated with improved ...
Obesity Surgery
comment
0
thumb_up
0
Risk Factors of Iron Deficiency and Iron Deficiency Anemia After Laparoscopic Sleeve Gastrectomy: A Retrospective Cohort Study
Metabolic and bariatric surgery (MBS) can effectively improve obesity and its related complications, but it may lead to si...
Obesity Surgery
comment
0
thumb_up
0
Too Late for a Duodenal Switch? Safety and Effectiveness of Duodenal Switch in Patients over 60 Years Old
The increase in obesity prevalence and longer life expectancy has led to more candidates over 60 pursuing bariatric surger...
Obesity Surgery
comment
0
thumb_up
0
Indications and Outcomes of Endoscopic Gastric Pouch Plications After Bariatric Surgery: An Analysis of the Metabolic and Bariatric Surgery Accreditation and Quality Improvement Program (MBSAQIP) Database
Endoscopic gastric pouch plications (EGPP) have emerged as a novel approach for managing weight-related issues and postope...
Obesity Surgery
comment
0
thumb_up
0
Effects of Bariatric Surgery on Sleep Architecture and Quality: A Systematic Review and Meta-Analysis
Despite the growing body of literature on the effects of bariatric surgery on sleep structure and quality in obese patient...
Obesity Surgery
comment
0
thumb_up
0
Patients with Severe Obesity Undergoing Roux-En-Y Gastric Bypass Versus Sleeve Gastrectomy: A Systematic Review and an Updated Meta-Analysis
Laparoscopic Roux-En-Y Gastric Bypass (LRYGB) contributes significantly to higher weight loss at 6 to 12 months w...
Obesity Surgery
comment
0
thumb_up
0
Long-Term Safety and Efficacy Profile of Bariatric Surgery in Patients Classified with ASA IV Status
Metabolic and bariatric surgery (MBS) is a safe and effective treatment option to reduce weight and manage obesity-related...
Obesity Surgery
comment
0
thumb_up
0
Association of Preoperative Serum 25-Hydroxyvitamin D with Longitudinal Body Mass Index After Bariatric Surgery—A Mediation Effect of Serum Albumin
The predictive ability of vitamin D for weight loss after bariatric surgery is not well-characterized. This prospective co...
Obesity Surgery
comment
0
thumb_up
0
Effectiveness of Adjuvant Semaglutide Following Bariatric Metabolic Surgery
Obesity is a relapsing condition and response to anti-obesity therapies appears to be normally distributed. Therefore, som...
Obesity Surgery
comment
0
thumb_up
0
Flap Valve-Preserving Vertical Sleeve Gastrectomy (INNOVATE-VSG): Clinical Trial Study Protocol
Conventional vertical sleeve gastrectomy (cVSG), the most commonly performed bariatric surgery, is associated with low com...
Obesity Surgery
comment
0
thumb_up
0
Beyond Insulin: Modified OAGB in Low-BMI Insulin-Resistant and Non-compliant Type 2 Diabetic Patients
Metabolic surgery’s role in lower-BMI patients with type 2 diabetes mellitus (T2DM) remains debated, particularly re...
Obesity Surgery
comment
0
thumb_up
0
Bariatric Surgery and Remission of Metabolic Syndrome: A Meta-analysis of Randomised Controlled Trials and Prospective Studies
Studies have discussed the efficacy of bariatric surgery (BS) in remission of individual components of metabolic syndrome ...
Obesity Surgery
comment
0
thumb_up
0
Remote Patient Monitoring Following Same-Day Discharge Bariatric Surgery: A Systematic Review and Meta-analysis
A barrier to same-day discharge (SDD) in bariatric and metabolic surgery (BMS) is concern over missing the early signs of ...
Obesity Surgery
comment
0
thumb_up
0
Assessment of Gastric Remnant Activity, Symptoms, and Quality of Life Following Gastric Bypass
While most gastric bypass patients recover well, some experience long-term complications, including nausea, abdominal pain...
Obesity Surgery
comment
0
thumb_up
0
Social Media Response to the Introduction of the Swallowable Gastric Balloon Treatment for Severe Obesity in the NHS: A Snapshot of Public Opinion
Swallowable gastric balloons are available in the UK to treat severe obesity. Our hospital introduced this treatment in 20...
Obesity Surgery
comment
0
thumb_up
0
Magnetic Sphincter Augmentation for Gastroesophageal Reflux After Sleeve Gastrectomy: A Systematic Review
This systematic review aims to evaluate the current evidence regarding safety and efficacy of magnetic sphincter augmentat...
Obesity Surgery
comment
0
thumb_up
0
Impact of Leptin-Melanocortin Pathway Genetic Variants on Weight Loss Outcomes After Endoscopic Transoral Outlet Reduction
Variants in the leptin-melanocortin pathway (LMP) are associated with severe obesity. We evaluated weight loss of patients...
Obesity Surgery
comment
0
thumb_up
0
Metabolic/Bariatric Surgery is Safe and Effective in People with Obesity, Type 2 Diabetes Mellitus and Chronic Kidney Disease: A Systematic Review and Meta-Analysis of Randomized Controlled Trials
Obesity, type 2 diabetes (T2D), and chronic kidney disease (CKD) are thought to increase surgical risks and reduce weight ...
Obesity Surgery
comment
0
thumb_up
0
Validity of Continuous Glucose Monitoring for the Diagnosis of Dumping Syndrome After Metabolic Surgery, in Comparison to the Oral Glucose Tolerance Test
Dumping syndrome (DS) is a common complication of metabolic surgery, occurring in as many as 40% of bariatric patients. Th...
Obesity Surgery
comment
0
thumb_up
0
The Role of ICG During the SADI-S Procedure
Indocyanine green (ICG) is a nontoxic, fluorescent iodide dye with rapid hepatic clearance that has been used in ...
Obesity Surgery
comment
0
thumb_up
0
A Meta-Analysis Comparing RYGB with Long Biliopancreatic Limb (BPL) Versus Long Alimentary Limb (AL) in Groups with Equal or Nearly Equal Combined Bypass Lengths (Combined BPL and AL Lengths): Does Switching Seats Enhance Weight Loss?
It is well-established that extending either the biliopancreatic limb (BPL), the alimentary limb (AL), or both, results in...
Obesity Surgery
comment
0
thumb_up
0
Load More
Modal title
×
Modal title
×
Share
Login
Global News and Health Forum
Join Now!
Member Login
Remember me
Forgot password?
Or using
Linkedin