×
Close
Sign Up
Login
Home
SCI Abstract
Library D
Events & Partner
WeMed
MDLA Events Platform
Events
Media Partners
Educational Partner
User Tools
FAQ/USER GUIDE
Language
English
中文/ Chinese
French
Português
Español
Arabic
Russian
Contact Us
×
Close
mdla_1
mdla_2
mdla_3
mdla_4
mdla_5
mdla_6
Categories
Oncology
52233
Global Medical University
5105
Allergy
1792
Anatomy & Morphology
1582
Andrology
379
Anesthesia & Intensive Care
1297
Anesthesiology
5389
Audiology & Speech-Language Pathology
347
Behavioral Sciences
105
Biochemical Research Methods
7205
Biochemistry & Molecular Biology
29955
Biodiversity Conservation
330
Biology
8488
Biophysics
8227
Biotechnology & Applied Microbiology
8608
Cardiac & Cardiovascular Systems
31005
Cardiovascular & Respiratory Systems
1397
Cell & Tissue Engineering
698
Cell Biology
11189
Chemistry, Analytical
4288
Chemistry, Applied
10860
Chemistry, Medicinal
8731
Chemistry, Multidisciplinary
18453
Clinical Immunology & Infectious Disease
405
Clinical Medicine
8964
Clinical Neurology
16593
Clinical Psychology & Psychiatry
1275
Critical Care Medicine
3136
Dentistry, Oral Surgery & Medicine
13503
Dermatology
7469
Developmental Biology
6938
Ecology
630
Education, Scientific Disciplines
2026
Emergency Medicine
4111
Endocrinology, Metabolism & Nutrition
24472
Engineering, Biomedical
3723
Entomology
488
Environmental Medicine & Public Health
4649
Evolutionary Biology
275
Gastroenterology & Hepatology
12188
General & Internal Medicine
6948
Genetics & Heredity
15098
Geriatrics & Gerontology
5067
Gerontology
378
Health Care Sciences & Services
16128
Health Policy & Services
599
Hematology
5569
Immunology
24701
Infectious Diseases
13922
Integrative & Complementary Medicine
2921
Medical Ethics
1239
Medical Informatics
2224
Medical Laboratory Technology
419
Medicine, General & Internal
44227
Medicine, Legal
532
Medicine, Research & Experimental
17699
Microbiology
23236
Mycology
0
Nanoscience & Nanotechnology
5363
Neuroimaging
1369
Neurology
4545
Neurosciences
39684
Nursing
9777
Nutrition & Dietetics
7823
Obstetrics & Gynecology
8246
Ophthalmology
9704
Optics
4269
Orthopedics
11758
Orthopedics, Rehabilitation & Sports Medicine
1807
Otolaryngology
1581
Otorhinolaryngology
4864
Parasitology
1157
Pathology
5141
Pediatrics
21479
Peripheral Vascular Disease
4777
Pharmacology & Pharmacy
35372
Pharmacology/Toxicology
12164
Physiology
8858
Polymer Science
550
Primary Health Care
836
Psychiatry
18996
Psychology
5225
Psychology, Applied
111
Psychology, Biological
389
Psychology, Clinical
806
Psychology, Developmental
272
Psychology, Educational
158
Psychology, Experimental
188
Psychology, Mathematical
0
Psychology, Multidisciplinary
1682
Psychology, Psychoanalysis
30
Psychology, Social
131
Public Health & Health Care Science
2222
Public, Environmental & Occupational Health
27224
Quantum Science & Technology
0
Radiology, Nuclear Medicine & Imaging
12396
Radiology, Nuclear Medicine & Medical Imaging
8244
Rehabilitation
3039
Remote Sensing
0
Reproductive Biology
2874
Reproductive Medicine
1207
Research/Laboratory Medicine & Medical Technology
3998
Respiratory System
7388
Rheumatology
6025
Social Sciences, Biomedical
1167
Substance Abuse
2759
Surgery
33685
Toxicology
4433
Transplantation
938
Tropical Medicine
300
Urology & Nephrology
12837
Veterinary Sciences
35
Virology
2545
Zoology
0
Channels
PATHOLOGY & ONCOLOGY RESEARCH
39
Pathology Society Understanding disease
52
Asian Journal of Oncology
57
Medrxiv - Oncology
829
AMERICAN JOURNAL OF CLINICAL ONCOLOGY-CANCER CLINICAL TRIALS
217
BONE MARROW TRANSPLANTATION
776
BREAST CANCER RESEARCH
301
BREAST CANCER RESEARCH AND TREATMENT
734
BRITISH JOURNAL OF CANCER
1004
CA-A CANCER JOURNAL FOR CLINICIANS
24
CANCER
419
CANCER AND METASTASIS REVIEWS
219
CANCER CELL INTERNATIONAL
900
CANCER DISCOVERY
156
CANCER MEDICINE
456
CANCER PREVENTION RESEARCH
62
CANCER RESEARCH
277
CANCER RESEARCH AND TREATMENT
20
CANCER SCIENCE
237
CANCERS
4428
CLINICAL CANCER RESEARCH
292
CLINICAL EPIGENETICS
434
CURRENT ONCOLOGY REPORTS
424
CURRENT OPINION IN ONCOLOGY
227
CURRENT TREATMENT OPTIONS IN ONCOLOGY
322
EXPERIMENTAL CELL RESEARCH
816
HEMATOLOGICAL ONCOLOGY
152
INTERNATIONAL JOURNAL OF CANCER
292
JOURNAL FOR IMMUNOTHERAPY OF CANCER
1345
JOURNAL OF CANCER
20
JOURNAL OF CANCER RESEARCH AND CLINICAL ONCOLOGY
972
JOURNAL OF CLINICAL ONCOLOGY
947
JOURNAL OF EXPERIMENTAL & CLINICAL CANCER RESEARCH
770
JOURNAL OF HEMATOLOGY & ONCOLOGY
381
JOURNAL OF NEURO-ONCOLOGY
744
JOURNAL OF PATHOLOGY
39
JOURNAL OF SURGICAL ONCOLOGY
240
LEUKEMIA
752
LIVER CANCER
131
MEDICAL ONCOLOGY
397
MOLECULAR CANCER
467
MOLECULAR CANCER THERAPEUTICS
157
MOLECULAR ONCOLOGY
196
NATURE REVIEWS CANCER
313
NATURE REVIEWS CLINICAL ONCOLOGY
333
NEOPLASIA
293
ONCOGENE
980
ONCOGENESIS
188
ONCOLOGIST
204
ONCOLOGY-NEW YORK
70
ONCOTARGETS AND THERAPY
606
PSYCHO-ONCOLOGY
158
SURGICAL ONCOLOGY-OXFORD
348
THERAPEUTIC ADVANCES IN MEDICAL ONCOLOGY
86
ASIA-PACIFIC JOURNAL OF CLINICAL ONCOLOGY
143
BMC CANCER
1859
CANCER EPIDEMIOLOGY
461
CANCER GENETICS
31
CANCER MANAGEMENT AND RESEARCH
1010
CURRENT ONCOLOGY
803
FRONTIERS IN ONCOLOGY
9927
FUTURE ONCOLOGY
111
GENES CHROMOSOMES & CANCER
50
HEREDITARY CANCER IN CLINICAL PRACTICE
98
INFECTIOUS AGENTS AND CANCER
182
INTEGRATIVE CANCER THERAPIES
69
INTERNATIONAL JOURNAL OF GYNECOLOGICAL CANCER
649
JOURNAL OF BUON
25
JOURNAL OF CANCER RESEARCH AND THERAPEUTICS
274
JOURNAL OF HEPATOCELLULAR CARCINOMA
420
ONCOLOGY
90
ONCOLOGY RESEARCH AND TREATMENT
161
PEDIATRIC BLOOD & CANCER
403
SEMINARS IN ONCOLOGY NURSING
319
TECHNOLOGY IN CANCER RESEARCH & TREATMENT
204
THORACIC CANCER
271
TUMORI J
67
INDIAN JOURNAL OF CANCER
122
JOURNAL OF ONCOLOGY PRACTICE
410
PHOTODIAGNOSIS AND PHOTODYNAMIC THERAPY
963
RADIATION ONCOLOGY
517
WORLD CANCER RESEARCH JOURNAL
137
SOUTH ASIAN JOURNAL OF CANCER
314
BREAST CANCER-BASIC AND CLINICAL RESEARCH
19
CANCER REPORTS
164
CASE REPORTS IN ONCOLOGY
345
CLINICAL CANCER INVESTIGATION JOURNAL
10
CURRENT BREAST CANCER REPORTS
119
CURRENT CANCER THERAPY REVIEWS
16
CURRENT COLORECTAL CANCER REPORTS
28
INDIAN JOURNAL OF SURGICAL ONCOLOGY
550
INTERNATIONAL CANCER CONFERENCE JOURNAL
211
INTERNATIONAL JOURNAL OF SURGERY-ONCOLOGY
18
JMIR CANCER
217
JOURNAL OF GASTROINTESTINAL CANCER
407
JOURNAL OF KIDNEY CANCER AND VHL
93
JOURNAL OF THE EGYPTIAN NATIONAL CANCER INSTITUTE
138
RARE TUMORS
23
REHABILITATION ONCOLOGY
98
MEMO-MAGAZINE OF EUROPEAN MEDICAL ONCOLOGY
239
MIDDLE EAST JOURNAL OF CANCER
200
NATURE CANCER
434
ONCOLOGY AND THERAPY
155
ONCOLOGY REVIEWS
36
ONKOLOGIJA
39
HORMONES & CANCER / DISCOVER ONCOLOGY
235
FAMILIAL CANCER
180
INTERNATIONAL JOURNAL OF CLINICAL ONCOLOGY
535
JOURNAL OF MAMMARY GLAND BIOLOGY AND NEOPLASIA
99
MEDICAL ONCOLOGY
378
PSYCHO-ONCOLOGIE
20
STRAHLENTHERAPIE UND ONKOLOGIE
422
SUPPORTIVE CARE IN CANCER
1152
TARGETED ONCOLOGY
261
SCI Abstract
search
ALL
RECOMMENDED
+
Novel CXCR4 Inhibitor CPZ1344 Inhibits the Proliferation, Migration and Angiogenesis of Glioblastoma
Glioblastoma (GBM) are life-threatening tumors with a poor prognosis and low cure rates. GBMs are malignant brain tumors t...
Pathology & Oncology Research
comment
0
thumb_up
0
Concordance Between Biopsy and Radical Prostatectomy Gleason Scores: Evaluation of Determinants in a Large-Scale Study of Patients Undergoing RARP in Belgium
To determine whether Gleason scores were concordant between prostate biopsies (bGS) and the definitive resection specimen ...
Pathology & Oncology Research
comment
0
thumb_up
0
The Ratio of ssDNA to dsDNA in Circulating Cell-Free DNA Extract is a Stable Indicator for Diagnosis of Gastric Cancer
Due to the different mechanisms of cell-free DNA production, the single-stranded DNA to double-stranded DNA ratio in blood...
Pathology & Oncology Research
comment
0
thumb_up
0
Increased miR-20b Level in High Grade Cervical Intraepithelial Neoplasia
Cervical cancer is a common malignant tumor worldwide ranking fourth in incidence and mortality among females, which was r...
Pathology & Oncology Research
comment
0
thumb_up
0
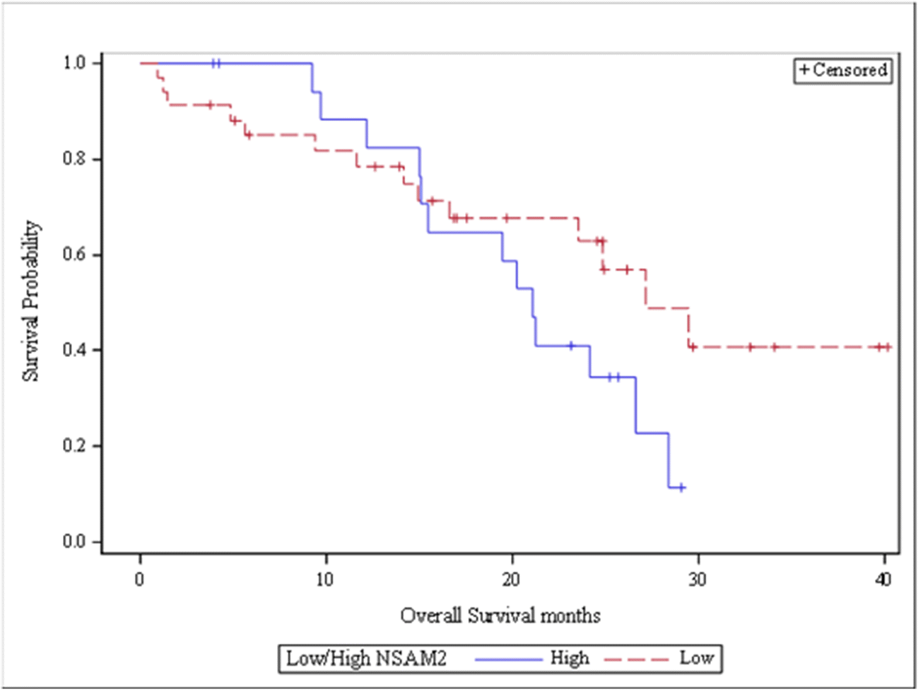
Prognostic Role of Aryl Hydrocarbon Receptor Interacting Protein (AIP) Immunohistochemical Expression in Patients with Resected Gastric Carcinomas
Aryl hydrocarbon receptor (AHR) interacting protein (AIP) is a chaperone which binds to inactive AHR in the cell cytoplasm...
Pathology & Oncology Research
comment
0
thumb_up
0
Low Fraction Size Re-irradiation for Large Volume Recurrence of Glial Tumours
The aim of the present study was to evaluate the efficacy of re-irradiation (re-RT) in patients with advanced local relaps...
Pathology & Oncology Research
comment
0
thumb_up
0
Overexpression of Long Non-Coding RNA FGF14-AS2 Inhibits Colorectal Cancer Proliferation Via the RERG/Ras/ERK Signaling by Sponging microRNA-1288-3p
Colorectal cancer remains one of most common cancer types with poor prognosis globally. Recent years, numerous studies dep...
Pathology & Oncology Research
comment
0
thumb_up
0
The Effect of Methylselenocysteine and Sodium Selenite Treatment on microRNA Expression in Liver Cancer Cell Lines
The unique character of selenium compounds, including sodium selenite and Se-methylselenocysteine (MSC), is that they exer...
Pathology & Oncology Research
comment
0
thumb_up
0
The Role of Time as a Prognostic Factor in Pediatric Brain Tumors: a Multivariate Survival Analysis
There is no evidence that prolonged pre diagnostic symptomatic intervals (PSI) increases the risk of death in pediatric br...
Pathology & Oncology Research
comment
0
thumb_up
0
Metabolic Parameters as Predictors for Progression Free and Overall Survival of Patients with Metastatic Colorectal Cancer
We tested the prognostic relevance of metabolic parameters and their relative changes in patients with metastatic colorect...
Pathology & Oncology Research
comment
0
thumb_up
0
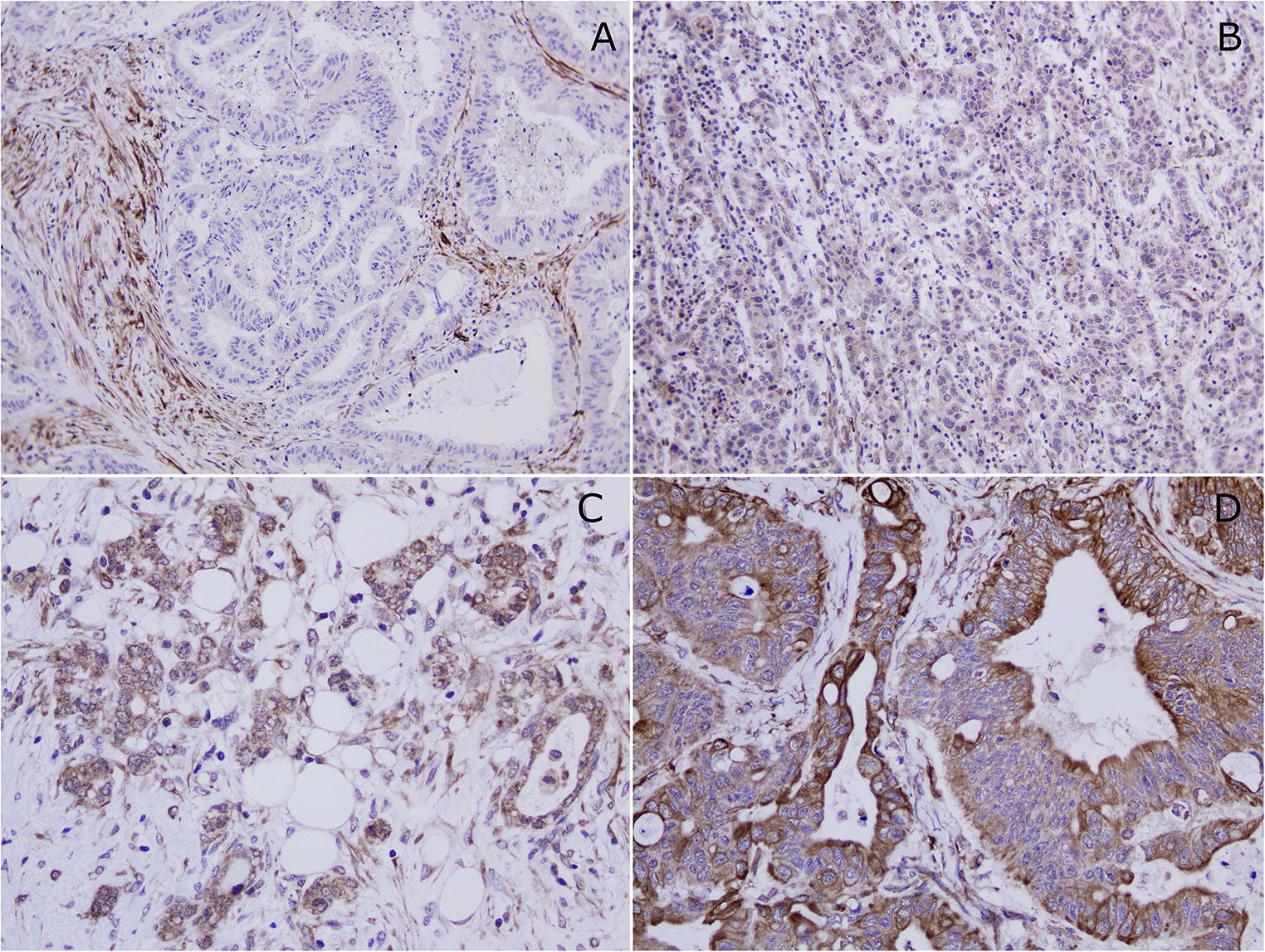
The Clinical Impact of Re-biopsies in Lung Adenocarcinoma: a Retrospective Multicenter Study
If a patient’s cancer progresses while undergoing targeted therapy, a re-biopsy is not mandatory. But when evaluatin...
Pathology & Oncology Research
comment
0
thumb_up
0
Prognostic Role of Immune Markers in Triple Negative Breast Carcinoma
Tumor immune microenvironment (TIME) is a significant prognostic parameter for triple negative breast carcinomas (TNBC) du...
Pathology & Oncology Research
comment
0
thumb_up
0
Expression of , and Genes for Predicting Survival in Triple-Negative and Hormone Receptor-Positive Subtypes of Breast Cancer
Triple-negative breast cancer (TNBC) is characterized by aggressive phenotype and a poorer prognosis compared to the estro...
Pathology & Oncology Research
comment
0
thumb_up
0
Examination of Tumor Regression Grading Systems in Breast Cancer Patients Who Received Neoadjuvant Therapy
Neoadjuvant therapy is a common form of treatment in locally advanced breast cancer (LABC) patients. Besides some guidelin...
Pathology & Oncology Research
comment
0
thumb_up
0
Chromosome X riddle in SARS-CoV-2 (COVID-19) - related lung pathology
Publisher's NoteSpringer Nature remains neutral with regard to jurisdictional claims in published maps and institutional a...
Pathology & Oncology Research
comment
0
thumb_up
0
The Proportion of Tumour-Stroma in Metastatic Lymph Nodes is An Accurately Prognostic Indicator of Poor Survival for Advanced-Stage Colon Cancers
The importance of tumour microenvironment in tumour behaviour has now become clearer. This study aimed to determine the pr...
Pathology & Oncology Research
comment
0
thumb_up
0
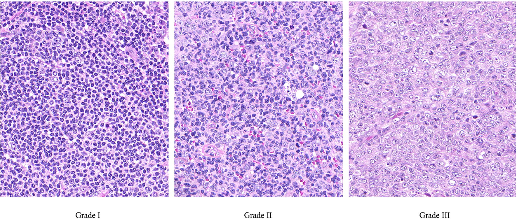
Grade I, II and III Follicular Lymphomas Express Ig V Genes with Different Patterns of Somatic Mutation
Follicular lymphoma (FL) is an indolent, B-cell, non-Hodgkin’s lymphoma with varying cytological appearance and clin...
Pathology & Oncology Research
comment
0
thumb_up
0
Prevalence of and Alterations in Urachal Cancer
Urachal carcinoma (UrC) is a rare tumor with remarkable histological and molecular similarities to colorectal cancer (CRC)...
Pathology & Oncology Research
comment
0
thumb_up
0
Modal title
×
Modal title
×
Share
Login
Global News and Health Forum
Join Now!
Member Login
Remember me
Forgot password?
Or using
Linkedin